Digital Garden
Search
CTRL + K
Digital Garden
Search
CTRL + K
Home
Index
Inbox
study
人工智能
机器学习
MIT21秋课程
1.1 课程介绍
1.2 数据获取
1.3 网页数据抓取
1.4 数据标注
2.1 数据分析
2.2 数据清洗
2.3 数据变换
2.4 特征工程
2.5 数据科学家的日常
3.1 机器学习介绍
3.2 决策树模型
3.3 线性模型
3.4 随机梯度下降
3.5 多层感知机
3.6 CNN
3.7 RNN
4.1 模型评估
4.2 过拟合和欠拟合
4.3 模型验证
5.1 方差和偏差
5.2 Bagging
5.3 Boosting
5.4 Stacking
9.1 模型调参
9.2 超参数优化
9.3 网络架构搜索
10.1 深度神经网络架构
11.1 CV中的微调
11.2 Nlp中的微调
深度学习
李沐学深度学习
04 数据操作 + 数据预处理
05 线性代数
06 矩阵计算
07 自动求导
09 Softmax 回归 + 损失函数 + 图片分类数据集
10 多层感知机 + 代码实现
11 模型选择 + 过拟合和欠拟合
12 权重衰退
13 丢弃法
14 数值稳定性 + 模型初始化和激活函数
15 实战:Kaggle房价预测 + 课程竞赛:加州2020年房价预测【动手学深度学习v2】
16 PyTorch 神经网络基础
17 使用和购买 GPU
18 预测房价竞赛总结
19 卷积层
20 卷积层里的填充和步幅
21 卷积层里的多输入多输出通道
22 池化
23 经典卷积神经网络 LeNet
54 循环神经网络 RNN
导航
技术笔记
Obsidian Copilot+LM studio本地RAG知识系统索引搭建
#machine_learning
#deep_learning
#MIT
#course
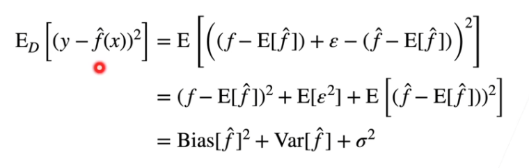
5.1 方差和偏差
泛化误差由三部分组成
方差
偏差
数据噪声
当模型越来越复杂,对于验证集来说,偏差是越来越小的,而方差是越来越大的,因此合并起来的泛化误差就是先变小后变大
解决方案
减少偏差bias:使用更复杂模型——增加隐藏层层数和隐藏层的输出大小
5.3 Boosting
减少方差variance:使用简单模型或用正则化方法限制学习范围
5.2 Bagging
减少数据噪声:数据清理
2.2 数据清洗
References
5.1 方差和偏差【斯坦福21秋季:实用机器学习中文版】_哔哩哔哩_bilibili